学校主页
导航
首页
研院概况
研究生院简介
机构设置
院领导
招生工作
博士招生
硕士招生
政策文件
历年数据
培养工作
培养方案
课程建设
国际交流
创新实践
学位管理
校学位评定委员会
学位授权点
学位论文答辩
优秀成果
相关规定
学生工作
学籍管理
相关规定
专业学位
专业学位研究生教育
工程硕士专业学位基本要求
联合培养基地
专业学位教育教学成果
校企联培
工程硕博士专项
地方高等研究院专项
实验室联培专项
科研院所联培专项
产教融合基地专项
管理规定
招生工作
培养工作
学位与导师
学生工作
专业学位
资料下载
招生工作
培养工作
学位与导师
学生工作
专业学位
其他
信息公开
研究生招生情况
考试成绩
录取名单
学位评定委员会公告
其他
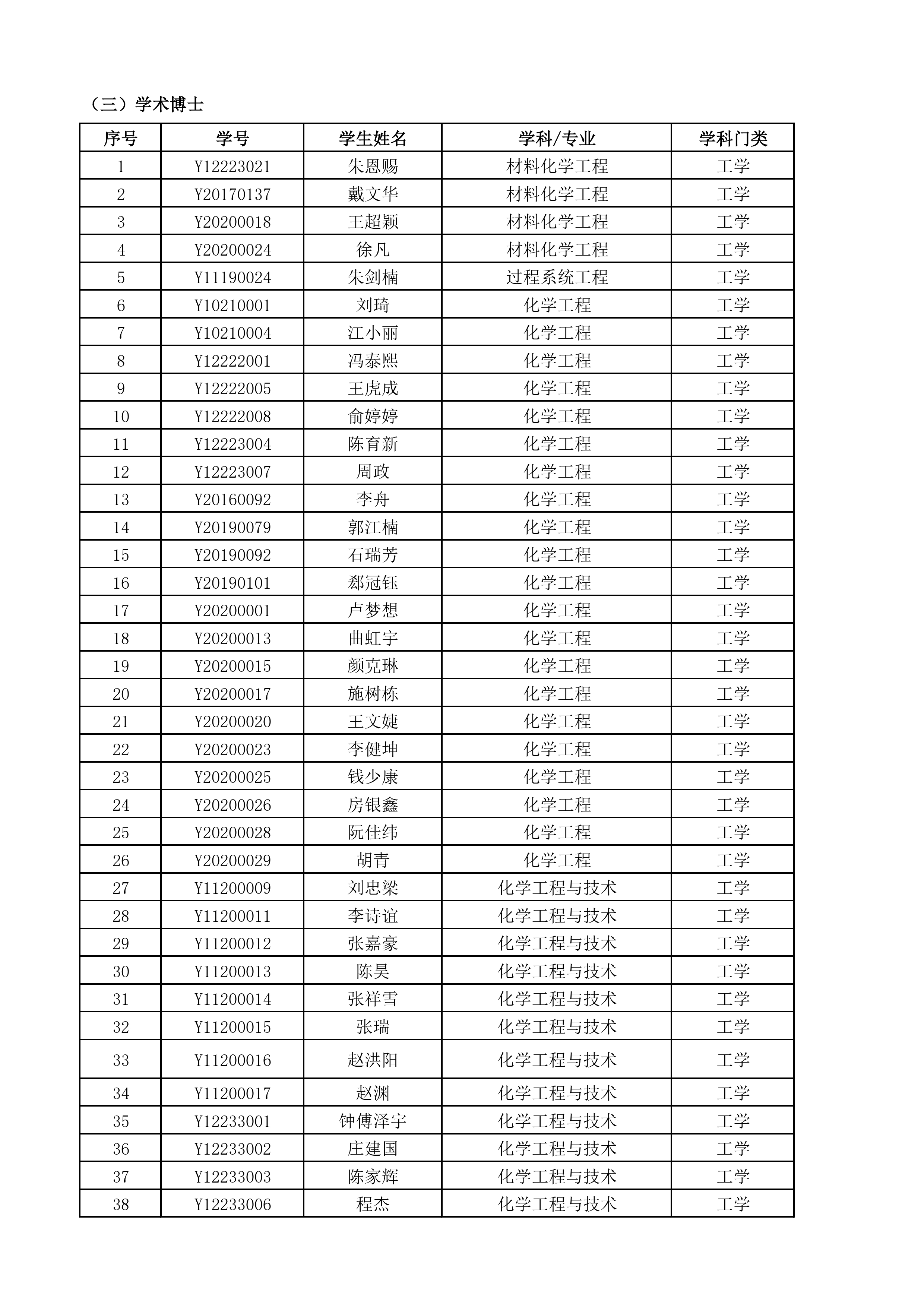
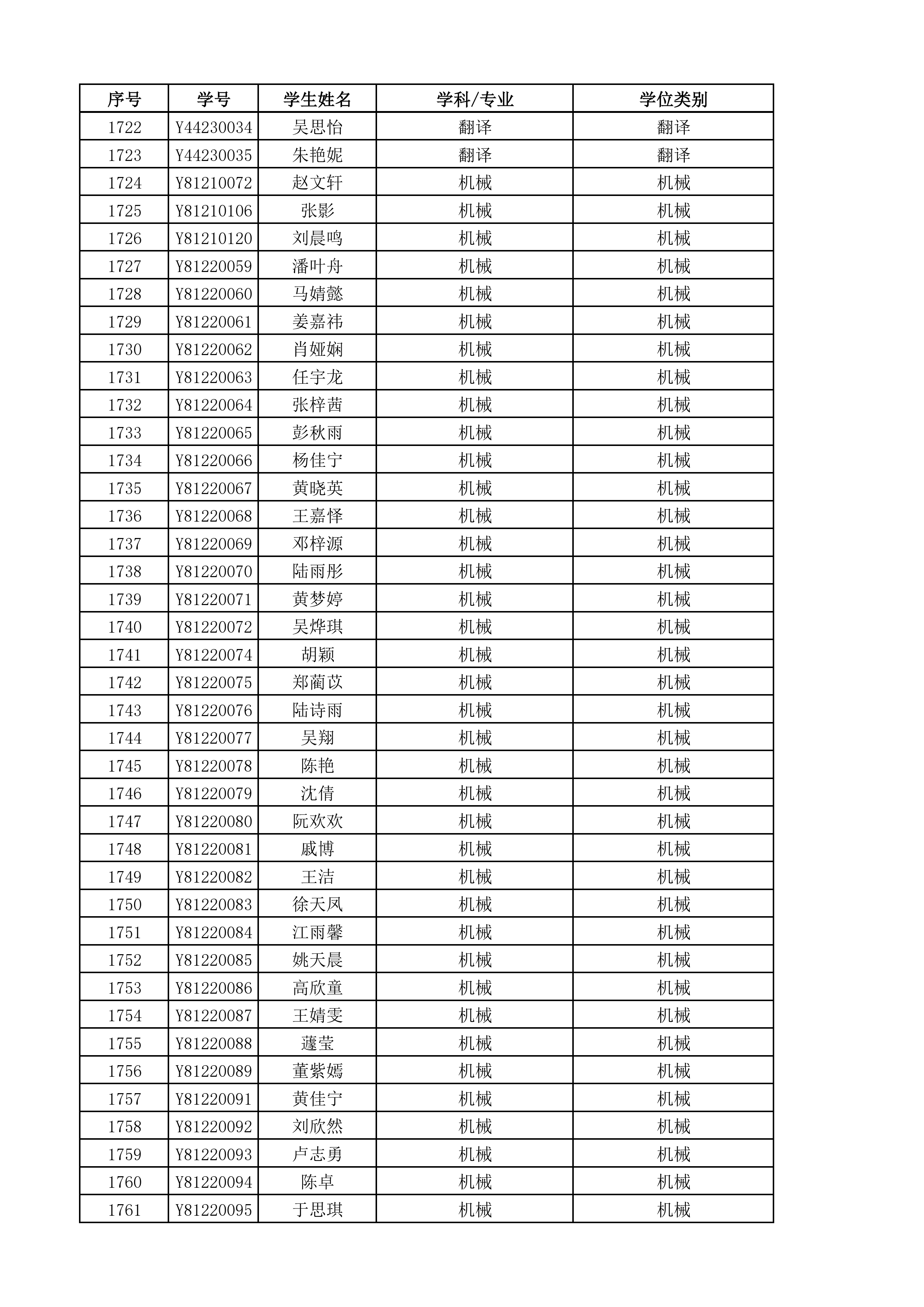
华东理工大学关于2025年6月授予硕士、博士学位的决定
发布者:研究生院
发布时间:2025-07-07
浏览次数:
10